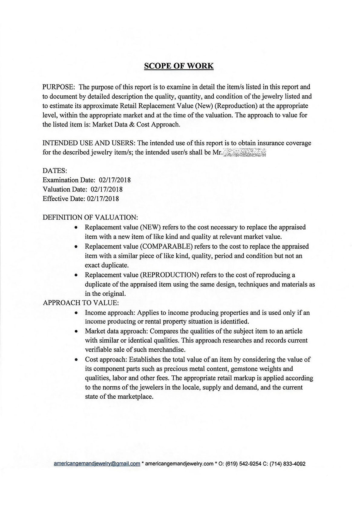
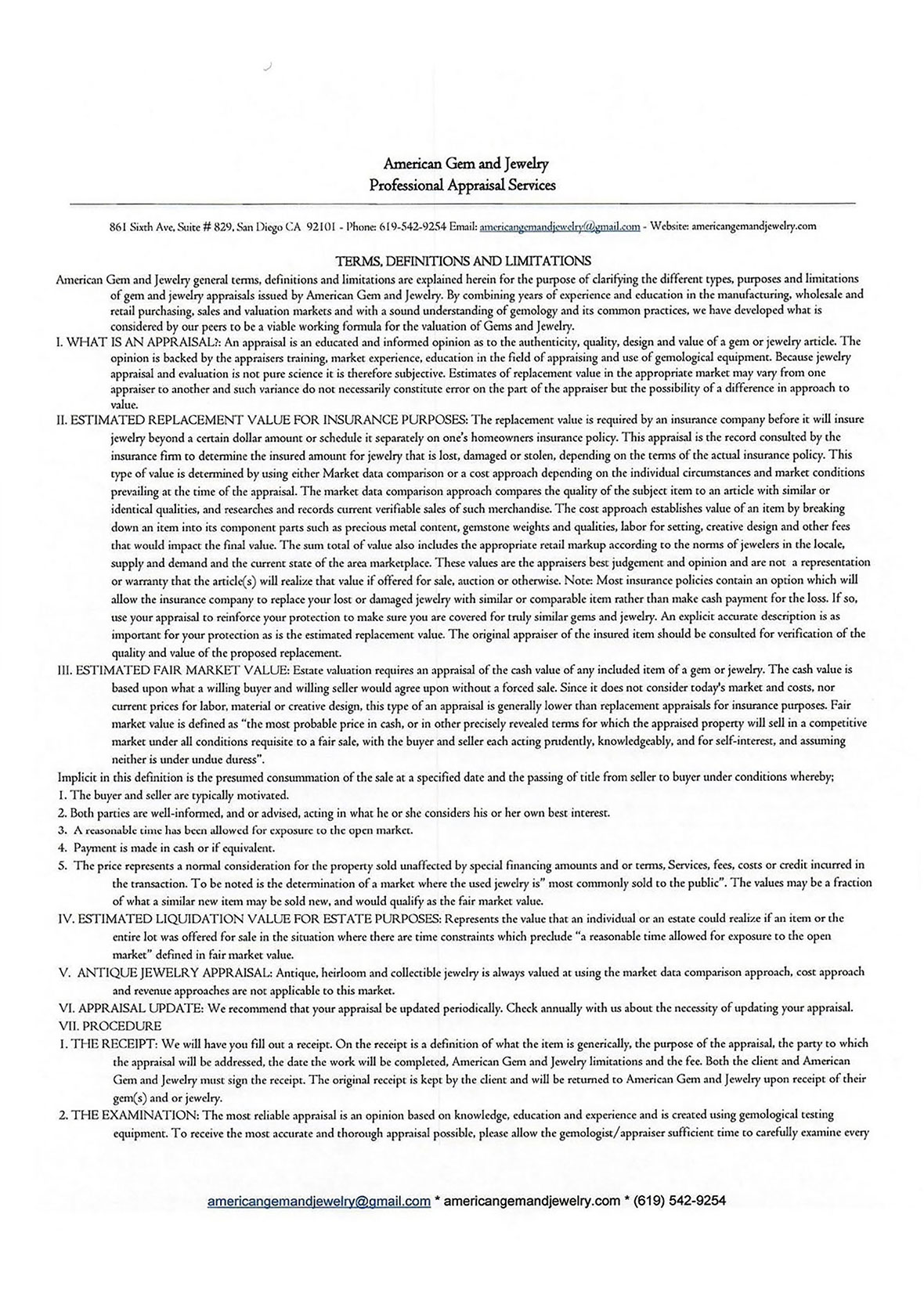
GUTACHTEN & ZERTIFIKATE

Wenn Sie ein erfahrener Gutachter sind und Ihr eigenes Unternehmen in dieses Verzeichnis aufnehmen wollen, senden Sie uns bitte Ihre Informationen per E-Mail an info@ORsunstone.com

 

Oregon Sunstone gibt es in vielen Varietäten und Qualitäten und die Preise steigen stetig an. Es braucht einen echten Experten, um den richtigen Wert dieser feinen Edelsteine zu bewerten und wir wollen potenzielle Investoren mit angesehenen Gutachtern in Kontakt bringen.

Alle Gutachten, die in diesem Abschnitt aufgeführt sind, werden hier angezeigt um Ihnen einen Eindruck von der Arbeit des Gutachters geben zu können. Wir entfernen alle Namen von Gutachten, um die Anonymität zu gewährleisten und zeigen keine bewerteten Preise an, um den Markt vor Beeinflussung zu schützen. Wenn Sie ein Gutachter sind, der Teil dieser Listung werden will, kontaktieren Sie uns bitte unter info@ORsunstone.com.

GUTACHTEN & ZERTIFIKATE

  • GUTACHTER

    Craig

    Lynch

    Shannon D. Prade

    Craig Lynch (USA)

    Ouellet & Lynch

     

     

    Ouellet & Lynch ist seit über 30 Jahren das vertrauenswürdigste und ein unabhängiges Schmuckbewertungsunternehmen im Raum Phoenix.

    Mr. Lynch ist einer der angesehensten unabhängigen Gutachter von Edelsteinen und hochwertigem Schmuck in den Vereinigten Staaten. In den letzten 30 Jahren hat er zehntausende von Kunden betreut.

     

    KONTAKTINFORMATIONEN

    Website: ouellet-lynch.com
    Tel: (602) 264-3210

    email: jewelappraisercl@gmail.com

    Shannon D. Prade G.G./A.J.P. (USA)

    American Gem and Jewelry

     

     

    American Gem and Jewelry ist ein in Kalifornien ansässiger Anbieter von Schmuckgutachten. Shannon Prade ist Graduate Gemologist der GIA in Carlsbad, Kalifornien und arbeitet eng mit Kunden aus der ganzen Welt zusammen. Er hat Erfahrung in der Zusammenarbeit mit Privatpersonen und Sammlern, Händlern, Minenbesitzern und anderen Fachleuten. Er hat eine starke Leidenschaft für die einzigartigen und seltenen Farbedelsteine. Shannon ist spezialisiert auf amerikanische Spezialitäten, wie Türkis, Benitoite, Bixbite, Nevada Opalized Wood und Kalifornischem Turmalin. Er hat reichhaltige Erfahrung mit vielen seltenen Edelsteinen und Mineralien, einschließlich dem Copper Bearing Oregon Sunstone. Shannons investigativer Charakter kommt in seinen Gutachten zu tragen und ermöglicht es ihm, tausende von Kunden mit exakten Details und Gutachten zu bedienen.

     

    KONTAKTINFORMATIONEN

    Website: americangemandjewelry.com
    Tel: (619) 542-9254

    email: americangemandjewelry@gmail.com

    Der Sunstone Guide hat einen hohen Qualitätsstandard. Die hier aufgeführten Sachverständigen und Gutachter kennen die Minenbetreiber, die großen Juweliere, die unterschiedlichsten Qualitäten der Steine, die in den jeweiligen Minen gefunden werden und überwachen die stetig steigenden Preise. Alle Gutachten, die in diesem Abschnitt aufgeführt sind, werden hier angezeigt um Ihnen einen Eindruck von der Arbeit des Gutachters geben zu können.

     

    Wir entfernen alle Namen von Gutachten, um die Anonymität zu gewährleisten und zeigen keine bewerteten Preise an, um den Markt vor Beeinflussung zu schützen. Wenn Sie ein Gutachter sind, der Teil dieser Listung werden will, kontaktieren Sie uns bitte unter  info@ORsunstone.com.

  • GUTACHTEN & ZERTIFIKATE

  • HERKUNFTSZERTIFIKATE

  • ECHTHEITSZERTIFIKATE

    Bitte senden Sie uns eine Kopie Ihres Oregon Sunstone Zertifikates, damit wir Sie hier zur Veranschaulichung veröffentlichen können. Wenn Sie ein Gutachter sind, senden Sie uns Ihre Informationen und Fotos an: info@ORsunstone.com

FAQ

  •  

    DE

     

    EN

    FR

    JP

    RU

GUTACHTEN & ZERTIFIKATE