鑑定と証明書

もしあなたが経験豊富な鑑定士で、自分のビジネスをこのディレクトリに掲載したいのであれば、掲載内容を info@ORsunstone.com まで送ってください

 

オレゴンサンストーンには多くの等級と品質があり、価格は常に上昇しています。貴重な宝石の正しい価値を知るためには、経験が豊富な鑑定士が必要です。当サイトでは鑑定士と投資家を繋げていきたいと考えています。

当ガイドで掲載されている鑑定士は極めて高い基準を保持しています。ここに掲載されている鑑定士は、鉱山関係者やジュエルリー職人、各産地の品質の違いを熟知しており、市場価格の動向に詳しい。

 

当サイトに掲載される全ての鑑定結果は、鑑定作業の一部始終を理解していただくためのものです。匿名性を保護するためにサンプルとして提示している鑑定評価においてすべての名前を隠し、価格操作を防ぐために鑑定価格を伏せています。サンストーン鑑定にお興味のある鑑定士の方は、 info@ORsunstone.com までご連絡ください。

鑑定と証明書

  • 鑑定サービス

    Craig

    Lynch

    Shannon D. Prade

    Craig Lynch氏 (アメリカ)

    Ouellet & Lynch社

     

     

    Ouellet&Lynch社は、フェニックス市のジュエリー鑑定会社であり、30年以上にわたり高い信頼を勝ち取っています。

    特にLynch氏は、米国で最も人気の宝石・ジュエリー鑑定士の一人です。過去30年間に何万人ものクライアントに鑑定サービスを提供してきました。

     

    連絡先情報

    ホームページ ouellet-lynch.com
    Tel: (602) 264-3210

    email: jewelappraisercl@gmail.com

    Shannon D. Prade G.G./A.J.P. (アメリカ)

    American Gem and Jewelry社

     

     

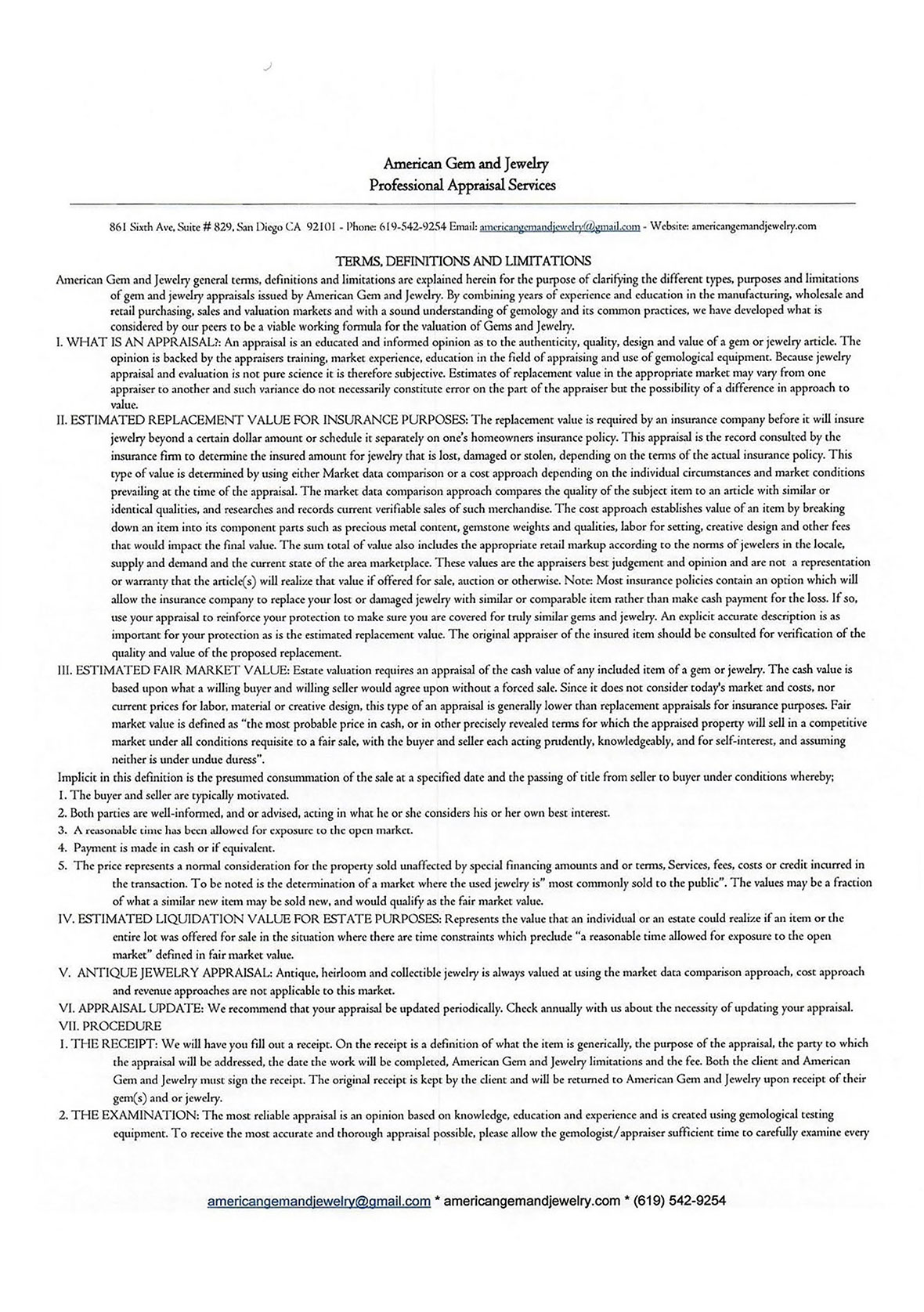
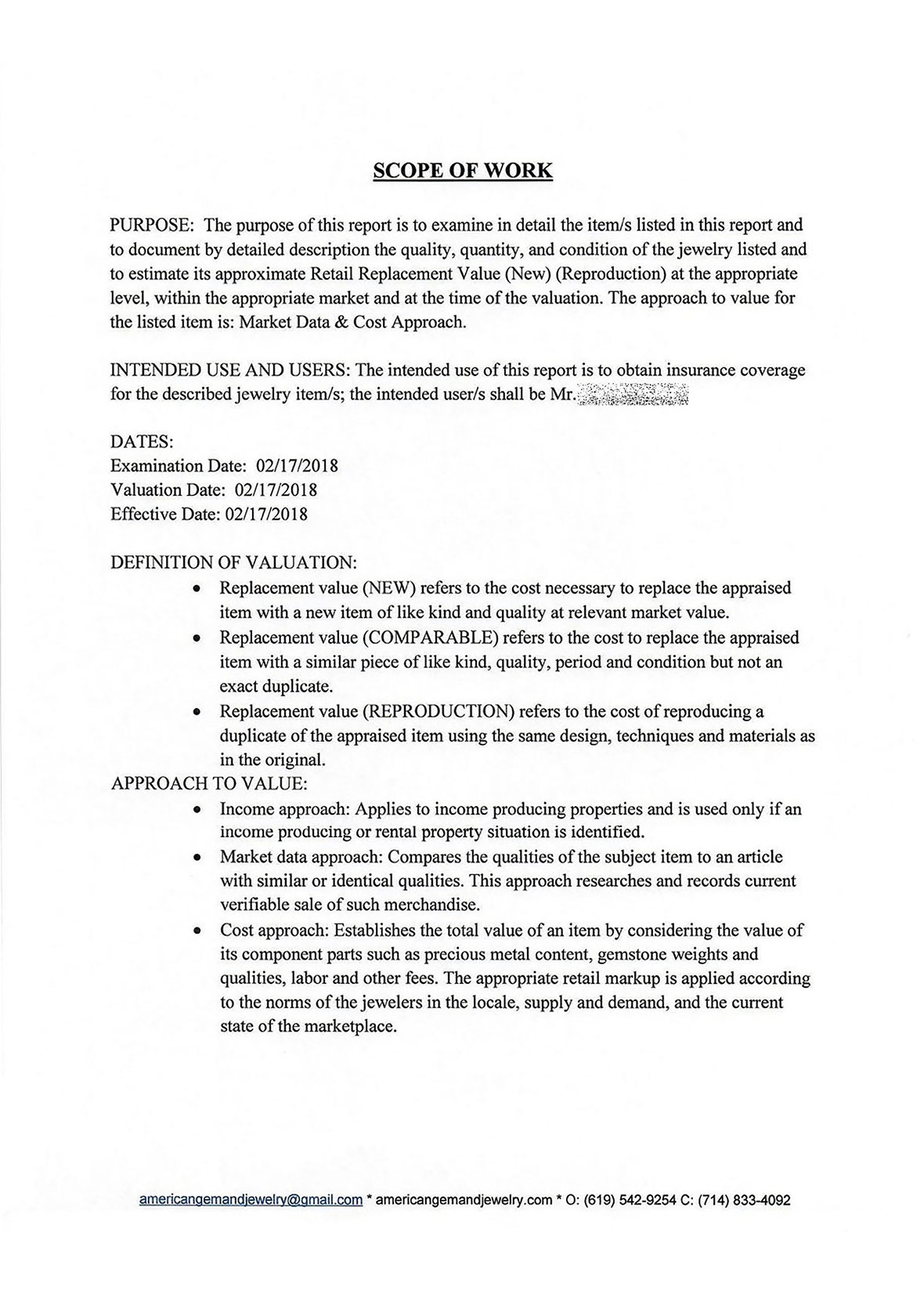
    American Gem and Jewelry社は、カリフォルニアに拠点を置く宝石鑑定および相談サービスプロバイダーです。  Shannon Prade氏は、カリフォルニア州カールスバッドのGIAの卒業生であり、世界中のクライアントと密に仕事をしています。個人やコレクター、ディーラー、鉱山の所有者、その他のジュエリーの専門家に至るまで、多くのクライアントとの仕事経験を持っています。カラーストーンのユニークで珍しい品質に対する情熱を持ち合わせています。  Shannon氏はターコイズ、ベニトイト、ビックスバイト、ネバダ州産のオパール珪化木、カリフォルニア州産のトルマリンなどのアメリカ産の宝石を専門としています。銅含有オレゴンサンストーンを含む数多くの希少な宝石や鉱物標本の鑑定経験もあります。宝石・ジュエルリーの鑑定がShannon氏は調査の才能を開花させ、数千のクライアントに詳細で正確な鑑定書を提供するほどの能力を身に着けました。

     

    連絡先情報

    ホームページ americangemandjewelry.com
    Tel: (619) 542-9254

    email: americangemandjewelry@gmail.com

    当ガイドで掲載されている鑑定士は極めて高い基準を保持しています。ここに掲載されている鑑定士は、鉱夫、主要宝飾品、各鉱山で見つかった品質の違いを知っており、上昇傾向の業界価格を監視しています。当サイトに掲載される全ての鑑定結果は、鑑定作業の一部始終を理解していただくためのものです。

     

    匿名性を保護するためにサンプルとして提示している鑑定評価においてすべての名前を隠し、価格操作を防ぐために鑑定価格を伏せています。サンストーン鑑定にお興味のある鑑定士の方は info@ORsunstone.comまでご連絡ください

  • 鑑別書

  • 原産地証明書

  • CERTIFICATES OF AUTHENTICITY

    他の方と共有のため、オレゴンサンストーンの宝石の鑑別書をメールでお送りください。資格のある鑑定士であり、当サイトに掲載をご希望の場合、ビジネス情報やお写真を info@ORsunstone.com までお送りください。

  •  

    JP

     

    EN

    FR

    DE

    RU

よくある質問

鑑定と証明書