Si vous êtes un expert expérimenté et que vous souhaitez inclure votre entreprise dans ce répertoire, veuillez envoyer vos informations à info@oregonsunstoneguide.com
Les Sunstones de l’Oregon se trouvent dans de nombreux critères et qualités, et les prix sont constamment à la hausse. Il faut un véritable expert pour connaître la valeur exacte d'une gemme et nous voulons aider à relier les investisseurs potentiels à des experts respectés.
Le guide de Sunstone a une haute estime pour les experts que nous énumérons dans cet annuaire. Les experts énumérés ici sont reconnus par des mineurs et des bijoutiers de premier plan. Ils connaissent les différentes qualités trouvées pour chaque mine, et surveillent la hausse des prix de cette industrie.
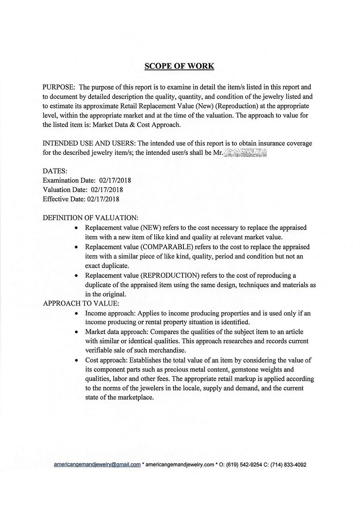
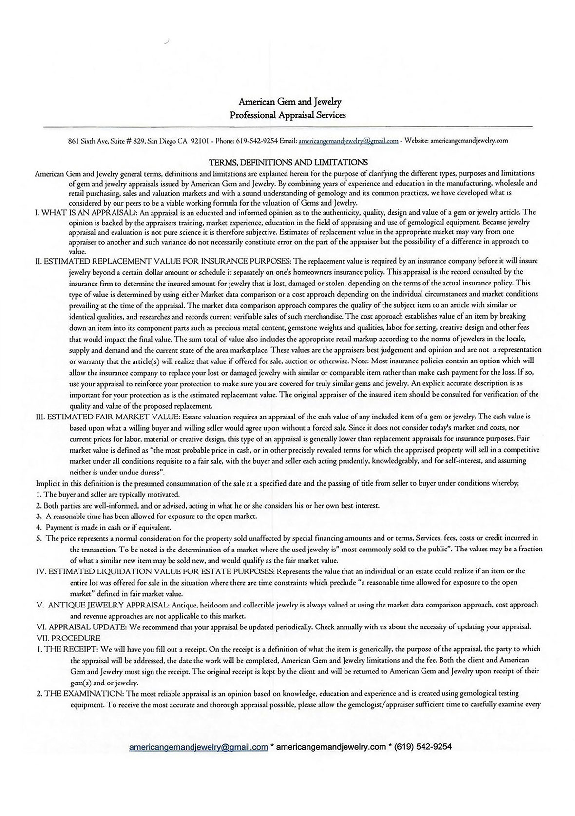
Toutes les expertises citées dans cette section sont affichées ici pour démontrer la rigueur du travail d'un expert. Nous supprimons tous les noms sur les expertises pour en protéger l'anonymat, et ne montrons pas les prix d'expertise pour protéger le marché. Si vous êtes un expert voulant faire partie de l'industrie de l'expertise des Sunstones, veuillez nous contacter à info@oregonsunstoneguide.com.
![]()
SERVICES D’EXPERTISE
Ouellet & Lynch est la société indépendante d'expertise de bijoux la plus fiable dans la région de Phoenix depuis plus de 30 ans.
M. Lynch est l'un des experts indépendants les plus recherchés pour les gemmes et la joaillerie aux États-Unis. Au cours des 30 dernières années, il a servi des dizaines de milliers de clients.
Website: ouellet-lynch.com
Tel: (602) 264-3210
email: jewelappraisercl@gmail.com

American Gem and Jewelry est un prestataire de services d'expertise et de conseils de bijoux basé en Californie. Shannon Prade est une gemmologue diplômée du GIA à Carlsbad, en Californie et travaille en étroite collaboration avec des clients du monde entier. Elle travaille avec des clients allant du particulier et des collectionneurs aux marchands, aux propriétaires de mines et autres professionnels de la bijouterie. Elle a une passion manifeste pour les pierres de couleur rares et de qualité. Shannon se spécialise dans les gemmes américaines comme la turquoise, la bénitoïte, la bixbite, le bois opalisé du Nevada et la tourmaline californienne. Elle a de l'expérience avec de nombreuses gemmes rares et les minéraux, y compris la Sunstone cuprifère de l’Oregon. La nature investigatrice de Shannon dans ses expertises de gemmes et de bijoux lui a permis de servir de milliers de clients en documents d'expertise avec des détails probants et précis.
Website: americangemandjewelry.com
Tel: (619) 542-9254


Le guide de Sunstone a une haute estime pour les experts que nous énumérons dans cet annuaire. Les experts énumérés ici sont reconnus par des mineurs et des bijoutiers de premier plan. Ils connaissent les différentes qualités trouvées pour chaque mine, et surveillent la hausse des prix de cette industrie.
We remove all names on appraisals to protect anonymity, and do not display appraisal prices to protect the market from possible bias. If you are an appraiser who would like to become part of the sunstone appraisal industry, please contact us at info@oregonsunstoneguide.com.
ATTESTATIONS D’EVALUATION
ATTESTATIONS D’ORIGINE
ATTESTATIONS D’AUTHENTICITE
Please email us copy of your Oregon Sunstone gem certificates so we can share with others. If you are a professional appraiser please send us your business information and photos to: info@oregonsunstoneguide.com