ОЦЕНКА И СЕРТИФИКАЦИЯ

Если вы опытный оценщик и хотите включить свой бизнес в этот каталог, отправьте свою информацию по этому адресу info@ORsunstone.com

 

Орегонский солнечный камень имеет множество классов и качественных характеристик, а цены на него постоянно растут вверх. Требуется истинный эксперт-оценщик, чтобы знать актуальную стоимость данных драгоценных камней. Поэтому мы хотим помочь связать потенциальных инвесторов с уважаемыми и опытными оценщиками.

Руководство по Орегонскому солнечному камню предъявляет чрезвычайно высокую планку к оценщикам, которых мы представляем в этом каталоге. Оценщики, перечисленные здесь, знают всех известных шахтеров, первичных ювелиров, имеют представление о качестве камней, которые добываются на разных шахтах и контролируют цены и тенденции на данном рынке.

 

Абсолютно все оценки представленные в этом разделе, предназначены для демонстрации профессионального уровня работы оценщиков. Мы скрываем имена оценщиков для защиты анонимности и не отображаем оценочные цены, чтобы защитить рынок от возможного колебания цен. Если вы оценщик, который хотел бы стать частью индустрии оценки Орегонского солнечного камня, пожалуйста свяжитесь с нами по адресу info@ORsunstone.com.

ОЦЕНКА И СЕРТИФИКАЦИЯ

  • УСЛУГИ ОЦЕНКИ

    Craig

    Lynch

    Shannon D. Prade

    Craig Lynch (США)

    Ouellet & Lynch

     

     

    Ouellet & Lynch уже более 30 лет является самой надежной независимой компанией по оценке ювелирных изделий в регионе Феникс.

    Г-н Линч является одним из самых востребованных независимых оценщиков драгоценных камней и ювелирных изделий в Соединенных Штатах. За последние 30 лет он работал с десятками тысяч клиентов.

     

    КОНТАКТНАЯ ИНФОРМАЦИЯ

    Веб-сайт: ouellet-lynch.com
    Телефон: (602) 264-3210

    email: jewelappraisercl@gmail.com

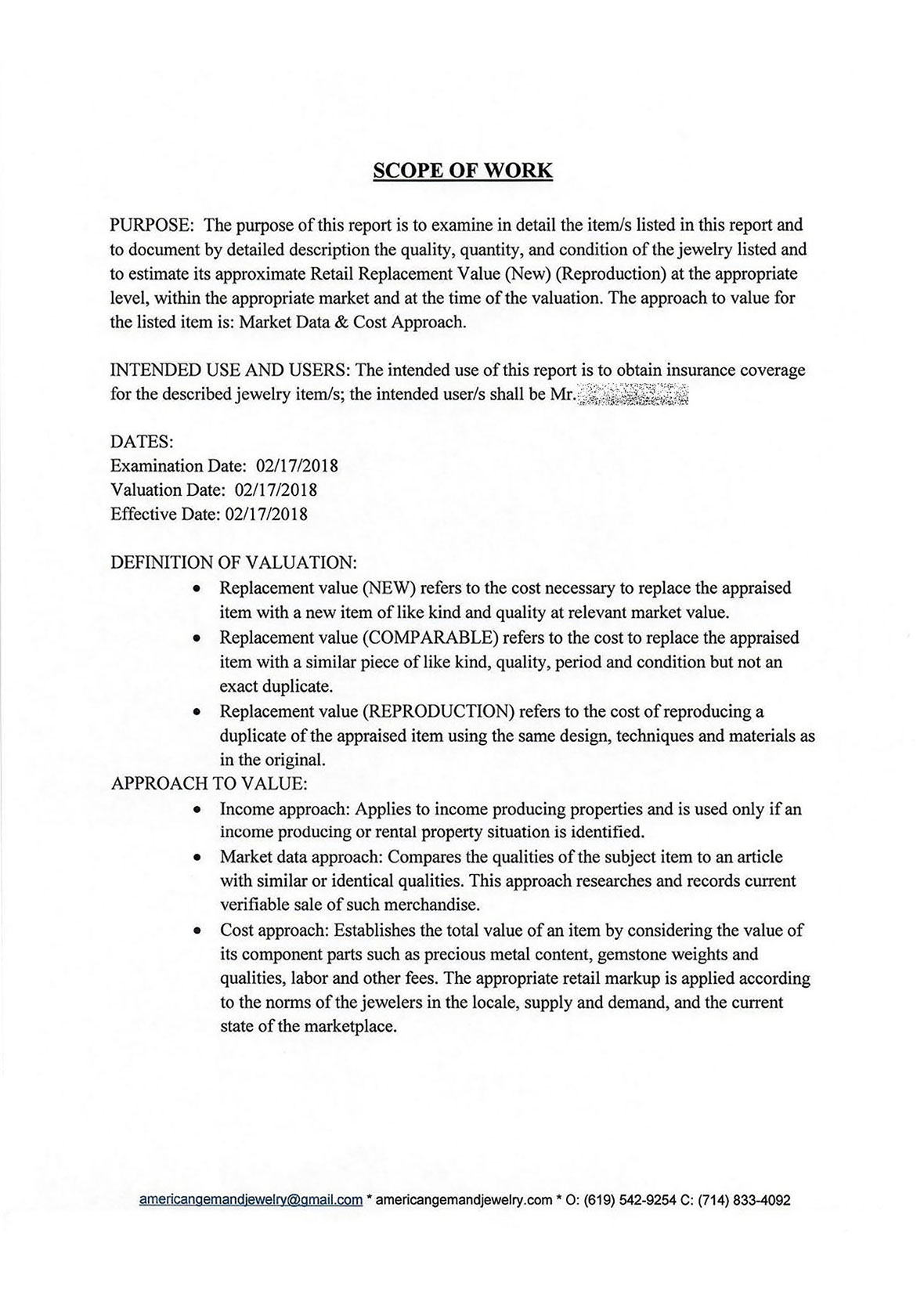
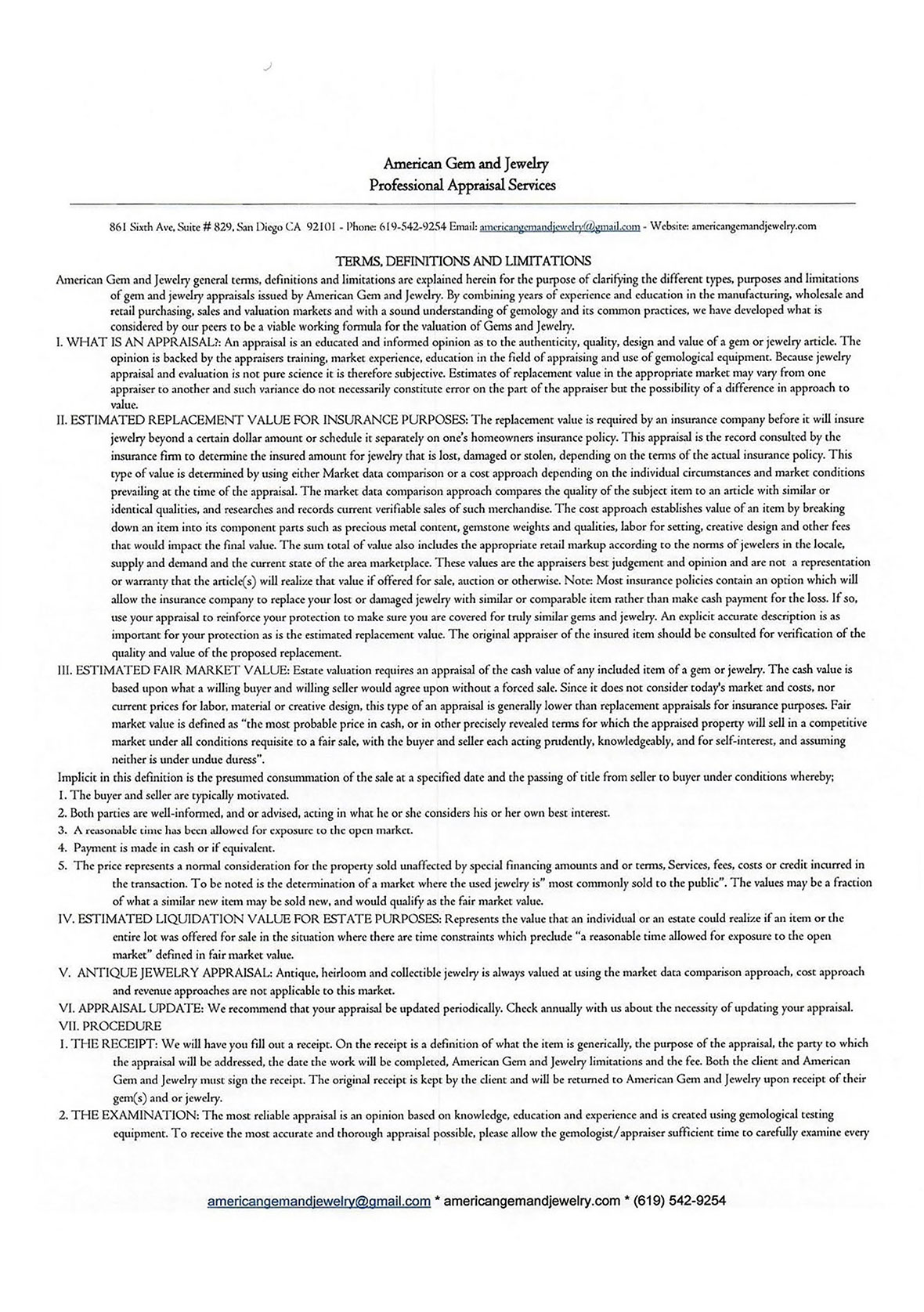
    Shannon D. Prade G.G./A.J.P. (USA)

    American Gem and Jewelry

     

     

    American Gem and Jewelry - предоставляет услуги по оценке ювелирных изделий и консультировании клиентов в Калифорнии. Шеннон Прайд - выпускник-геммолог из GIA в Карлсбаде, штат Калифорния, который работает в тесном контакте с клиентами со всего мира. Он имеет опыт работы с клиентами, начиная от частных лиц и коллекционеров, до дилеров, владельцев шахт и других ювелирных специалистов. Его страсть - уникальные, редкого качества цветные камни. Шеннон специализируется на американских драгоценных камнях, таких как Бирюза, Бенитоит, Биксбит, Опаленная древесина и Калифорнийский турмалин. Он имеет опыт работы с множеством редких драгоценных камней и образцов минералов, включая Орегонский солнечный камень. Личные качества, аналитическое мышление и любовь к своей работе, позволила Шеннону обеспечить тысячи клиентов великолепной детализацией и точностью в своих оценочных документах.

     

    КОНТАКТНАЯ ИНФОРМАЦИЯ

    Веб-сайт: americangemandjewelry.com
    Телефон: (619) 542-9254

    email: americangemandjewelry@gmail.com

    Наше руководство предъявляет чрезвычайно высокий стандарт для оценщиков, которых мы перечисляем в данном каталоге. Оценщикам, перечисленным здесь, известны шахты, первичные ювелиры, качество камней, которое предлагает каждая из шахт, а также контролируют цены и рыночные тенденции. Все оценки, которые вы найдете в данном разделе, призваны продемонстрировать тщательность работы оценщиков.

     

    Абсолютно все оценки представленные в этом разделе, предназначены для демонстрации профессионального уровня работы оценщиков. Мы скрываем имена оценщиков для защиты анонимности и не отображаем оценочные цены, чтобы защитить рынок от возможного колебания цен. Если вы оценщик, который хотел бы стать частью индустрии оценки Орегонского солнечного камня, пожалуйста свяжитесь с нами по адресу info@ORsunstone.com.

  • ОЦЕНОЧНЫЕ СЕРТИФИКАТЫ

  • СЕРТИФИКАТЫ В ОРИГИНАЛЕ

  • СЕРТИФИКАТЫ ПОДТВЕРЖДАЮЩИЕ ПОДЛЕННОСТЬ

    Пожалуйста, присылайте нам копию ваших сертификатов Орегонских солнечных камней, чтобы мы могли поделиться ими с другими. Если вы являетесь профессиональным оценщиком, пришлите нам свою деловую информацию и фотографии: info@ORsunstone.com

FAQ

  •  

    RU

     

    EN

    FR

    DE

    JP

ОЦЕНКА И СЕРТИФИКАЦИЯ

  • Shannon D. Prade G.G./A.J.P. (USA)

    American Gem and Jewelry

     

     

    American Gem and Jewelry - предоставляет услуги по оценке ювелирных изделий и консультировании клиентов в Калифорнии. Шеннон Прайд - выпускник-геммолог из GIA в Карлсбаде, штат Калифорния, который работает в тесном контакте с клиентами со всего мира. Он имеет опыт работы с клиентами, начиная от частных лиц и коллекционеров, до дилеров, владельцев шахт и других ювелирных специалистов. Его страсть - уникальные, редкого качества цветные камни. Шеннон специализируется на американских драгоценных камнях, таких как Бирюза, Бенитоит, Биксбит, Опаленная древесина и Калифорнийский турмалин. Он имеет опыт работы с множеством редких драгоценных камней и образцов минералов, включая Орегонский солнечный камень. Личные качества, аналитическое мышление и любовь к своей работе, позволила Шеннону обеспечить тысячи клиентов великолепной детализацией и точностью в своих оценочных документах.

     

    КОНТАКТНАЯ ИНФОРМАЦИЯ

    Веб-сайт: americangemandjewelry.com
    Телефон: (619) 542-9254

    email: americangemandjewelry@gmail.com